针对目前平单轴跟踪光伏发电系统组件与逆变器容量配比普遍采用1.2:1 左右的现状,本文通过选取4 个典型地区的年小时辐射量数据,计算组件与逆变器容量配比范围在1:1~1.8:1 的最佳度电成本(LCOE),以获得最佳容量配比,并给出了日照资源对最佳容量配比的影响分析。此外,还分析了LCOE 计算的各参数变化对LCOE 和组件与逆变器最佳容量配比的影响,最终给出了平单轴跟踪光伏发电系统容量配比的研究结果。
一 典型地区的辐射量数据
为了更好地进行平单轴跟踪光伏发电系统配置的优化原则的研究,本文分别选取了苏州、阳泉、拉萨及格尔木这4 个地区一年中的月每小时辐射量数据( 数据来源:METEonORM 7.1),并根据该数据绘制了4 个地区的日照资源分布趋势图,如图1 所示。




从图1 可以看出:
1) 月每小时平均辐射量数据的分布可近似为正弦曲线,因此每月日照辐射量越高的地区,该地区的月日照资源越好。
2) 格尔木、拉萨两地的日照资源要比阳泉、苏州两地的日照资源更为丰富,前两者的最高平均日照辐射量及每个月的平均辐射量均优于后两者。
3) 近似同一经度的两个不同地区的日照资源分布也有较为明显的差异。以格尔木(36°24′N,94°53′E) 和拉萨(29°30′N,91°15′E) 为例,格尔木的最高月每小时平均辐射量优于拉萨(5 月份),而拉萨在每月每小时平均辐射量上则优于格尔木,具体表现为:拉萨月最高日照强度分布于640~810 W/m2,并且每月之间的差异不大;而格尔木月最高日照强度分布在480~880 W/m2,且每月之间的差异很大。
二 超装对光伏电站的影响
本文将从光伏电站的收益、设备利用率、设备运行安全性、出力特性等方面分析平单轴跟踪光伏发电系统超装对光伏电站的影响。下文为光伏电站PR 效率的常用计算方法。
2.1 光伏电站的主要损耗
光伏电站的PR 效率ηPR 可用式(1) 求得:

式中,ηshield 为灰尘及遮挡带来的功率损失,本文取7.5%;ηTemp. 为温度带来的功率损失,本文取3.5%;ηdispatch 为串、并联的功率损失,本文取2%;ηDCcable 为直流线损,本文取3%;ηInverter为逆变器损耗,本文取2.5%;ηACcable 为交流线损,本文取1%;ηTrans. 为变压器损耗,本文取2%。功率在传输至逆变器时,其前端即DC 侧的效率为:

这意味着当组件与逆变器的容量配比为1:1时,在日照强度达到1000 W/m2 时,逆变器所能得到的最大输入功率只有其额定输出功率的84.85%,即设备始终无法全容量运行;同理,其后端的变压器的最大工作容量只有其额定容量的84.85%( 若考虑变压器可长期1.1 倍额定容量运行,则为77.14%);并且由于日照强度是按近正弦曲线分布的,设备在最大功率运行的时间是很少的( 每天约1 h),因此,在该容量配比下,逆变器及其后端设备的利用率很低。
2.2 超装对光伏电站的影响分析
图2 为逆变器超装前后的输出功率曲线对比。

从图2 可以看出,光伏电站超装后:
1) Pmax> P ′max。当逆变器更多时间以额定输出功率工作时,逆变器及变压器的设备利用率可以有效提高。
2) T2–T1>T2′–T1′,即超装后的逆变器工作时间更长。由于逆变器需在直流输入功率达到其启动阈值后才能启动,在同样的日照强度下超装后光伏电站的光伏组件可输出更高功率,尤其是在早晚时段,因此可获得更多的发电量收益。
3) 超装后逆变器的输出功率由未超装时的近似正弦分布变为近似梯形分布,这使光伏电站的输出功率变得更加稳定,也更有利于电网公司对光伏电站进行有功功率的调度。
4) 由于目前的主流逆变器企业的产品均具备满载限功率运行功能,因此设备不会因为超装造成超负荷运行而导致损坏。基于以上几点分析可以看出,光伏电站超装对提升光伏发电收益、设备利用率,以及稳定光伏电站的功率输出都十分有利。但超装比例并不是越大越好,这是因为超装比例达到一定程度时,由超装所带来的发电量收益与超装所引起的电站投资成本增加达到了一个平衡点。因此,本文是将优化平单轴跟踪光伏发电系统的LCOE 作为目标函数,研究不同地区平单轴跟踪光伏发电系统的最佳组件与逆变器容量配比。
三 仿真计算
3.1 LCOE 计算
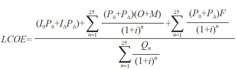
考虑到今后在场地进行实验研究的便利性,本文选取标准容量为3.5 kW 的光伏发电系统,组件与逆变器的容量配比变化范围为1:1~1.8:1( 变比间隔为0.05),即组件的容量范围为3.5~6.3kW( 容量间隔为0.175 kW),逆变器额定运行功率为3.5 kW,最大功率为3.85 kW,组件功率衰减首年2.5%,其后每年衰减0.7%,电站运行寿命25 年。将上述4 个地区年小时的日照资源数据导入到PVSYST 6.5 中进行计算,得到的总发电量计算结果如表1 所示。光伏电站的LCOE 是用于评估光伏电站经济性能表现的重要参数,国外学者针对尽早实现光伏平价上网的目标,对多个光伏电站的LCOE 开展了研究[5-8],文献[9] 给出了常规光伏电站中LCOE 计算方法。本文中,对于平单轴跟踪系统的LCOE 计算按式(3) 进行:

式中,I0 为光伏电站按1:1 容量配比( 以下简称“ 未超装”) 部分的装机每瓦成本,元/Wp;IΔ 为超出1:1 的容量配比( 以下简称“超装”) 部分的装机单瓦成本,元/Wp;P0 为光伏电站光伏电站未超装部分的装机容量,W;PΔ 为光伏电站超装部分的装机容量,W;F 为每瓦土地成本,元/Wp;i 为利息率;O 为每瓦经营成本,元/Wp;M 为每瓦运维成本,元/Wp;Qn 为年均发电量,kWh/ 年;n 为电站寿命,年。

本文在计算时对上述参数的设定如表2 所示。

经计算,4 个地区的光伏电站的LCOE 如表3 所示。

3.2 年利用小时数计算
由于提高平单轴跟踪系统的容配比会在某些日照资源丰富的时段造成发电限制,导致光伏电站的年利用小时数下降。为了研究年利用小时数的变化程度,本文以苏州地区为例,对不容配比条件下光伏电站的年利用小时数进行了计算,同时分析了LCOE 的下降与年利用小时数下降之间的关系,结果如表4 所示。
注:以上数据中年利用小时数是电站运行第一年的数据,随着电站运行时间的增长、组件功率的衰减,年利用小数的差别会越来越小,最终将趋于零由表4 可以看出:
1) 在苏州地区,当容配比低于1.5:1 时,光伏电站不会发生发电限制;当容配比超过1.5:1时,随着容配比的增加,年利用小时数下降( 发电限制时间增加)。
2) 年利用小时数下降的同时,LCOE 也在下降。达到最佳容配比时,年利用小时数下降了1.86%,而LCOE 则下降了9.01%,即通过牺牲很少的年利用小时数,换取了LCOE 成本的显著下降。
四 数据分析
通过对以上4 个地区的不同组件与逆变器的容量配比的计算,得到以下结论:
1) 经度基本相同的情况下,月小时平均辐射量更优的地区,其度电成本更低,即组件与逆变器的容量配比越小,但差别不明显,例如拉萨为1.35:1,格尔木为1.40:1。
2) 纬度基本相同的情况下,西部地区由于日照资源更为丰富,其度电成本要明显优于东部,即西部地区的组件与逆变器的容量配比要明显低于东部地区。例如格尔木(36°24′N,94°53′E)的最佳容量配比为1.40:1, 阳泉(37 °56′N,113°33′E) 为1.65:1。
3) 苏州在4 个地区中日照资源最弱,因此在本文的计算所设定的容量配比范围内,其最佳容量配比最高,为1.75:1。综上所述,日照资源的丰富程度对平单轴跟踪系统的度电成本和容量配比的影响最为显著:日照资源越丰富的地区,其组件与逆变器的容量配比就越低;反之亦然。
五 参数对LCOE及容量配比分析
由于各项目的条件不同,导致土地成本、施工费用、材料成本、融资成本及经营运维成本等均不尽相同。针对表2 中所列的各参数在0.9~1.1( 间隔为0.05) 范围内变化时,对格尔地区( 其他地区趋势类似) 的LCOE 及最佳组件与逆变器容量配比的变化趋势进行了计算,得到的结果如图3 所示。





观察图3 可以得出参数变化对LCOE 及容量配比的影响:
1)LCOE 与最佳容量配比随着I0 的增加而增加。这是由于未超装部分的装机成本增加并不会带来更多的发电收益,因此为了获得更佳的LCOE,就必须增加容量配比以进一步提高发电收益。
2)LCOE 随着IΔ 的增加而增加,最佳容量配比随着IΔ 的增加而降低。这是由于更高的超装部分的装机成本与超装所带来的发电收益更早达到了平衡,或者说当超装成本越低时,就可以采用更高的容量配比获得更多的发电收益。
3) 由于i、(O M)、F 在整个系统成本中所占的比例较小,因此其变化对最佳组件容量配比的影响微乎甚微,可以忽略。而LCOE 则随着这3 个参数的变化呈单调递增趋势。
六 结论
本文通过对4 个不同日照资源典型地区,在不同组件与逆变器容量配比下的平单轴跟踪光伏发电系统的度电成本计算,给出了对应于不同地区的推荐的最佳容量配比,并进一步分析了不同的平单轴投资成本其对最佳容量配比的影响,最终得到结论如下:
1) 日照资源的月小时平均辐射量的分布趋势对光伏组件与逆变器容量配比的影响十分显著。月平均辐射量越高,且每月之间辐射量差异越小的地区,光伏组件与逆变器的容量配比就越小。
2) 西部地区由于日照资源丰富,所需的光伏组件与逆变器的容量配比要明显低于东部地区。若容量配比相同的条件下,平单轴跟踪系统在西部地区较东部地区有着更好的发电量收益。
3) 平单轴跟踪光伏发电系统的组件与逆变器容量配比与未超装部分的每瓦成本之间呈单递增关系,因此为了减小光伏电站与逆变器的容量配比,应尽可能的降低光伏电站的未超装部分的每瓦成本;
4) 平单轴跟踪光伏发电系统的组件与逆变器容量配比与超装部分的光伏电站装机每瓦成本成单调递减关系,虽然最佳组件容量配比会下降,但同时意味着超装部分所带来的发电量收益的效果将减弱,也带来了LCOE 的提升。因此,应当尽可能降低超装部分的光伏电站装机每瓦成本。
5) 超装虽然会导致部分时段出现限发导致发电量损失,但与其带来的LCOE 的成本显著下降的趋势相比,这点损失完全可以接受。
6) 尽管利息率、经营和运维成本等3 个因素及土地成本对最佳组件与逆变器容量配比的影响可以忽略,但是其对LCOE 的影响还是较为显著的,因此还是应该尽可能地降低以上3 项成本,以获得更低的LCOE。
7) 在实际光伏电站的建设中,受到土地面积、申报的并网装机容量等因素的限制,为了使项目尽可能得按最佳组件与逆变器容量配比进行建设,建议在项目申报时,可参照最佳容量配比进行土地面积的申报。



